普物作業 Group 6
HW1 / problem-3
Chris Lin
3/10/2026 6:20 PM
6:20 PM
答案
Chris Lin
3/12/2026 11:58 PM
我在想一個很數學的證法,在一個$R^n$空間的任意開集合都可以由可數個閉集合來逼近,我在想的是我用可數個閉球來去逼近這個中間空的地方,然後因為這些小閉球裡面都沒有電荷,所以任意球的表面都沒有電通量 但現在這個證法卡在電場要是均勻的必須要沒有散度和梯度,這個方法還有要補救的地方
(edited)
11:59 PM
$R^n$
TeXit
BOT
3/12/2026 11:59 PM
Chris Lin
Chris Lin
3/13/2026 12:00 AM
如果補救成功的話我們會有一個很酷的證法:3
Chris Lin
3/14/2026 12:12 AM
$\nabla$
(edited)
TeXit
BOT
3/14/2026 12:13 AM
Chris Lin
Chris Lin
3/14/2026 12:15 AM
$\nabla\cdot{} \vec{E}=\nabla \cross \vec{E}=0$
(edited)
TeXit
BOT
3/14/2026 12:17 AM
Chris Lin
Chris Lin
3/14/2026 12:17 AM
$\forall x \in \Omega$
(edited)
TeXit
BOT
3/14/2026 12:18 AM
Chris Lin
Chris Lin
3/14/2026 12:18 AM
這件事是顯然的
12:18 AM
現在在解決的問題是,我要用其他在這個空間的條件證明出
12:19 AM
$Claim \nabla \vec{E}=0$
TeXit
BOT
3/14/2026 12:19 AM
Chris Lin
Chris Lin
3/14/2026 12:19 AM
$\forall x \in \Omega$
TeXit
BOT
3/14/2026 12:19 AM
Chris Lin
Saki醬
3/15/2026 12:07 AM
2
12:07 AM
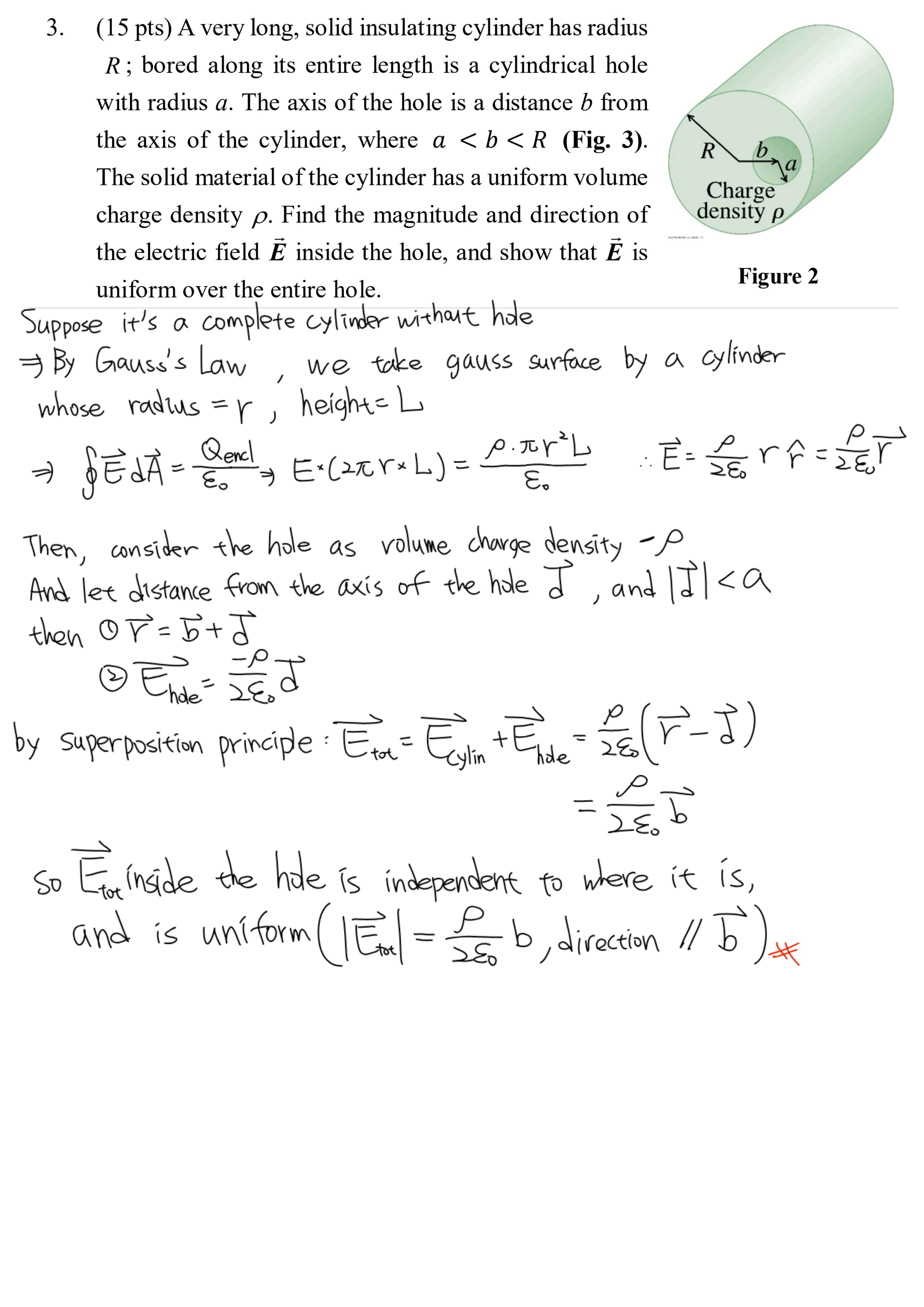
我大概這樣子寫,請各位確認一下~
Saki醬
Click to see attachment
🖼️
Chris Lin
3/15/2026 12:08 AM
我有寫了在上面
12:08 AM
目前還在想另一個想法
12:08 AM
目前只剩第四題了
Chris Lin
3/16/2026 9:12 PM
喔我想到一個證明法了
9:13 PM
For any function $\in C^\infty$
(edited)
TeXit
BOT
3/16/2026 9:14 PM
Chris Lin
Chris Lin
3/16/2026 9:15 PM
There is a solve of Talyor expansion as $f=a+b
ix_i+c
{ij}x_ix_j \dots$
(edited)
TeXit
BOT
3/16/2026 9:15 PM
Chris Lin
Chris Lin
3/16/2026 9:16 PM
and for a place have no charge, there is $\nabla^2 f=0$
(edited)
TeXit
BOT
3/16/2026 9:17 PM
Chris Lin
Chris Lin
3/16/2026 9:18 PM
to fullfill such differential equation, there's solve $\phi=a+b
ix_i+c
{ij}x_ix_j$
(edited)
TeXit
BOT
3/16/2026 9:18 PM
Chris Lin
Chris Lin
3/16/2026 9:20 PM
since we have $\nabla^2x
ix_j=\delta
{ij}$, $\nabla^2 \phi =2\sum
i c
{ii}=-\rho/\epsilon_0$
(edited)
TeXit
BOT
3/16/2026 9:20 PM
Chris Lin
Chris Lin
3/16/2026 9:22 PM
for a cylindrical structure, we have space symmetry, such that $\phi=\alpha r^2+\beta$, we know that $\alpha =-\rho/4\epsilon_0$
(edited)
TeXit
BOT
3/16/2026 9:22 PM
Chris Lin
Chris Lin
3/16/2026 9:25 PM
such that $\phi=-\frac{\rho}{4\epsilon_0}\vec{r}^2+\frac{\rho}{4\epsilon_0}(\vec{r}^2-2\vec{r}\cdot\vec{a}+\vec{a}^2)=-\frac{\rho}{2\epsilon_0}(\vec{a}\cdot\vec{r})+\frac{\rho}{4\epsilon_0}\vec{a}^2$
(edited)
TeXit
BOT
3/16/2026 9:26 PM
Chris Lin
Chris Lin
3/16/2026 9:26 PM
然後這個也可以導到甚麼特定得結構能夠在中間的空洞創造勻電場的結論
Chris Lin
3/17/2026 1:27 AM
喔等等還要補上一個事情
1:28 AM
我們之所以可以隨意的以泰勒展開來敘述空間中的電位是因為對於電荷平衡的解(也就是拉普拉斯算子為零)必須是解析的
Chris Lin
Click to see attachment
🖼️
Chris Lin
3/20/2026 12:23 AM
勘誤
我的第三行寫錯了電位表示少了個負號,但神奇的是結果有加上一個負號,如果看的是我的這個版本的人記得這裡要加一個負號
Exported 42 message(s)
Timezone: UTC+8