普物作業 Group 6
HW1 / problem-4
Idiot01
3/18/2026 11:22 PM
看起來是滿中規中矩的題目
Chris Lin
3/18/2026 11:22 PM
對
11:22 PM
但很麻煩
11:22 PM
計算很多
Idiot01
3/18/2026 11:22 PM
我不確定有沒有計算錯誤哈哈
11:22 PM
各位幫檢查個
Chris Lin
3/18/2026 11:22 PM
沒事讓我們來看看
1
11:22 PM
(´ཀ`」 ∠)
(edited)
Idiot01
3/18/2026 11:22 PM
1
Chris Lin
3/18/2026 11:23 PM
看起來沒啥問題
Idiot01
3/18/2026 11:23 PM
最後一題應該是證明 conserved 就好?
Chris Lin
3/18/2026 11:24 PM
那題可以給我
Idiot01
3/18/2026 11:24 PM
我不想獨立算 omega 哈哈
Chris Lin
3/18/2026 11:24 PM
他有一個很酷的數學結構
1
11:24 PM
我明天算
Idiot01
3/18/2026 11:24 PM
怎說?
11:24 PM
Okok
Idiot01
怎說?
Chris Lin
3/18/2026 11:24 PM
睡覺先
Idiot01
3/18/2026 11:24 PM
行
Chris Lin
3/19/2026 3:42 PM
Idiot01
3/19/2026 3:52 PM
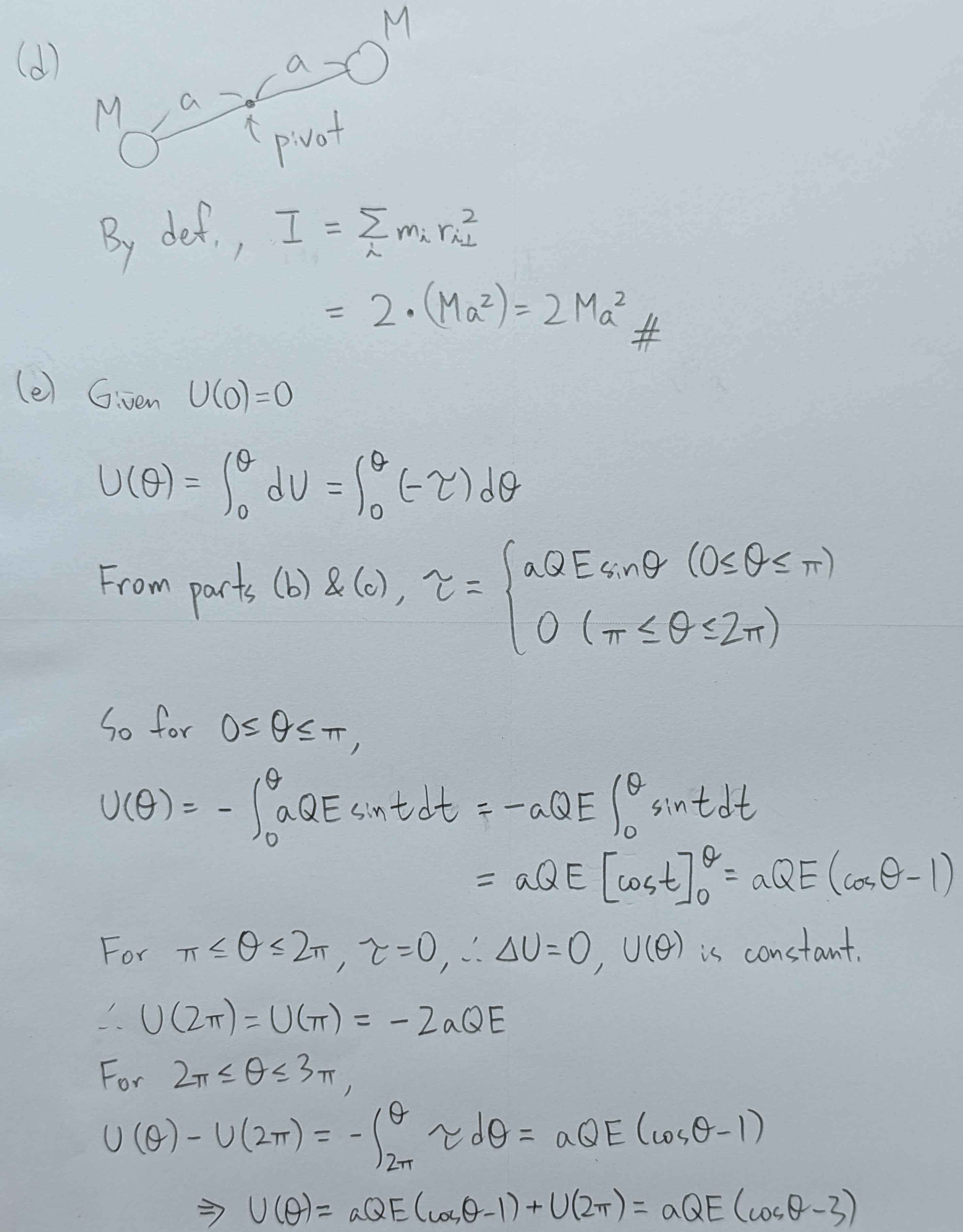
恩恩跟我寫的一樣
1
Chris Lin
3/19/2026 3:52 PM
喔原來
3:52 PM
那沒事了
Idiot01
Click to see attachment
🖼️
Idiot01
3/19/2026 3:52 PM
只是我沒用點點 哈哈
Chris Lin
3/19/2026 3:52 PM
Exported 25 message(s)
Timezone: UTC+8