普物作業 Group 6
HW2 / problem-1
金豬朋
3/24/2026 10:20 PM
那我先傳我第一題的想法
10:21 PM
10:23 PM
問個:因為電場的函數是不連續的,這樣依照電位的定義去積分時,會不會出問題
Chris Lin
3/24/2026 10:58 PM
不會
10:58 PM
這是一個叫暇積分的定理
10:58 PM
黎曼積分的可積性是由左右黎曼和是否相同來決定
10:59 PM
在這樣訂情況下去定義所需的切片數
10:59 PM
而因為這些切片足夠細,即使方格有跨到中間也會因為極限的關係不影響結果
1
金豬朋
3/24/2026 11:10 PM
謝啦
金豬朋
Click to see attachment
🖼️
Saki醬
3/29/2026 10:27 PM
電場是不是應該加個r hat向量呢?
Chris Lin
3/29/2026 10:28 PM
阿對了電通量一般是寫 $\Phi_\vec{E}$
(edited)
TeXit
BOT
3/29/2026 10:29 PM
Chris Lin
Compile Error! Click the
reaction for more information. (You may edit your message to recompile.)
Saki醬
電場是不是應該加個r hat向量呢?
金豬朋
3/29/2026 11:09 PM
確實應該加一下
TeXit
Chris Lin
Compile Error! Click the
reaction for more information. (You may edit your message to recompile.)
金豬朋
3/29/2026 11:09 PM
下標的電場要向量符號是嗎
金豬朋
下標的電場要向量符號是嗎
Chris Lin
3/29/2026 11:10 PM
喔不是
11:10 PM
是上面是phi
11:10 PM
下面是E
11:10 PM
你寫反了
金豬朋
3/29/2026 11:10 PM
啊啊~
11:10 PM
懂
Chris Lin
3/29/2026 11:10 PM
-# 我自己是平常沒有勤勞到E會加向量符號啦
1
金豬朋
3/29/2026 11:10 PM
我都沒發現哈哈哈
11:11 PM
寫錯了
Idiot01
3/30/2026 9:27 PM
導體內部電場零是包含表面還是不包含?
(edited)
Chris Lin
3/30/2026 9:28 PM
不包含
9:28 PM
因為電荷可以在表面
9:28 PM
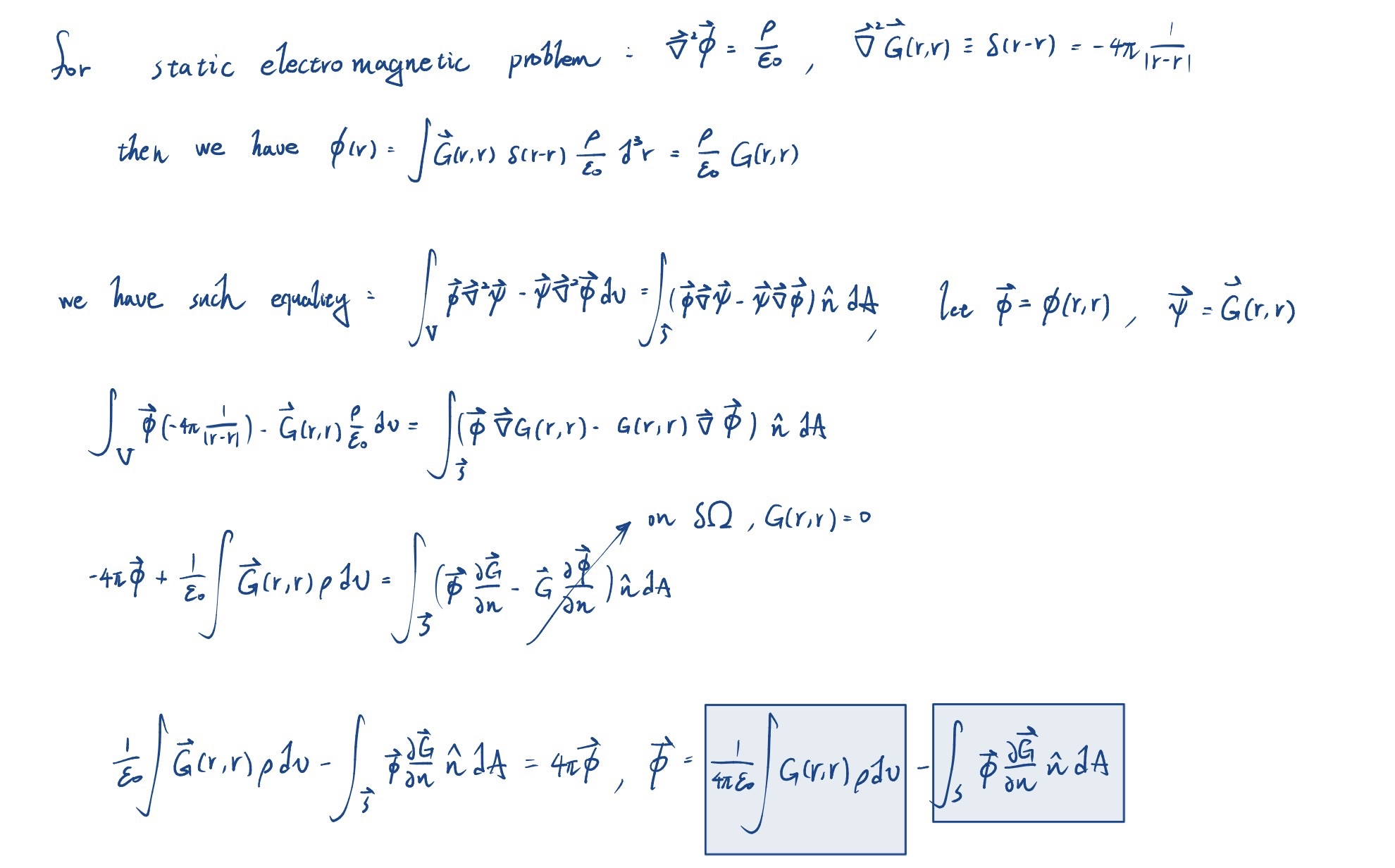
這是格林函數的表面項
9:29 PM
Idiot01
3/30/2026 9:30 PM
不懂G QAQ
9:31 PM
我是想說如果電荷在表面不是應該要離表面有距離才會有場? 不然在表面上好像只是個方向的電荷造成的平行表面的場互相取消?
Chris Lin
3/30/2026 9:31 PM
$$\phi(r)$$就是電位
TeXit
BOT
3/30/2026 9:31 PM
Chris Lin
Compile Error! Click the
reaction for more information. (You may edit your message to recompile.)
Idiot01
我是想說如果電荷在表面不是應該要離表面有距離才會有場? 不然在表面上好像只是個方向的電荷造成的平行表面的場互相取消?
Chris Lin
3/30/2026 9:32 PM
一個物體在電磁場中會造成極化
9:32 PM
而這些電荷會因為在表面無處可去而被固定
9:33 PM
否則在導體內部就會產生電場
9:33 PM
有了電場就會讓電荷移動
9:33 PM
就不符合靜電磁定義
9:36 PM
喔所以說到底導體內沒有電荷終究只是靜電磁狀態所推導出的
9:36 PM
有其限制
金豬朋
Click to see attachment
🖼️
Idiot01
3/30/2026 10:14 PM
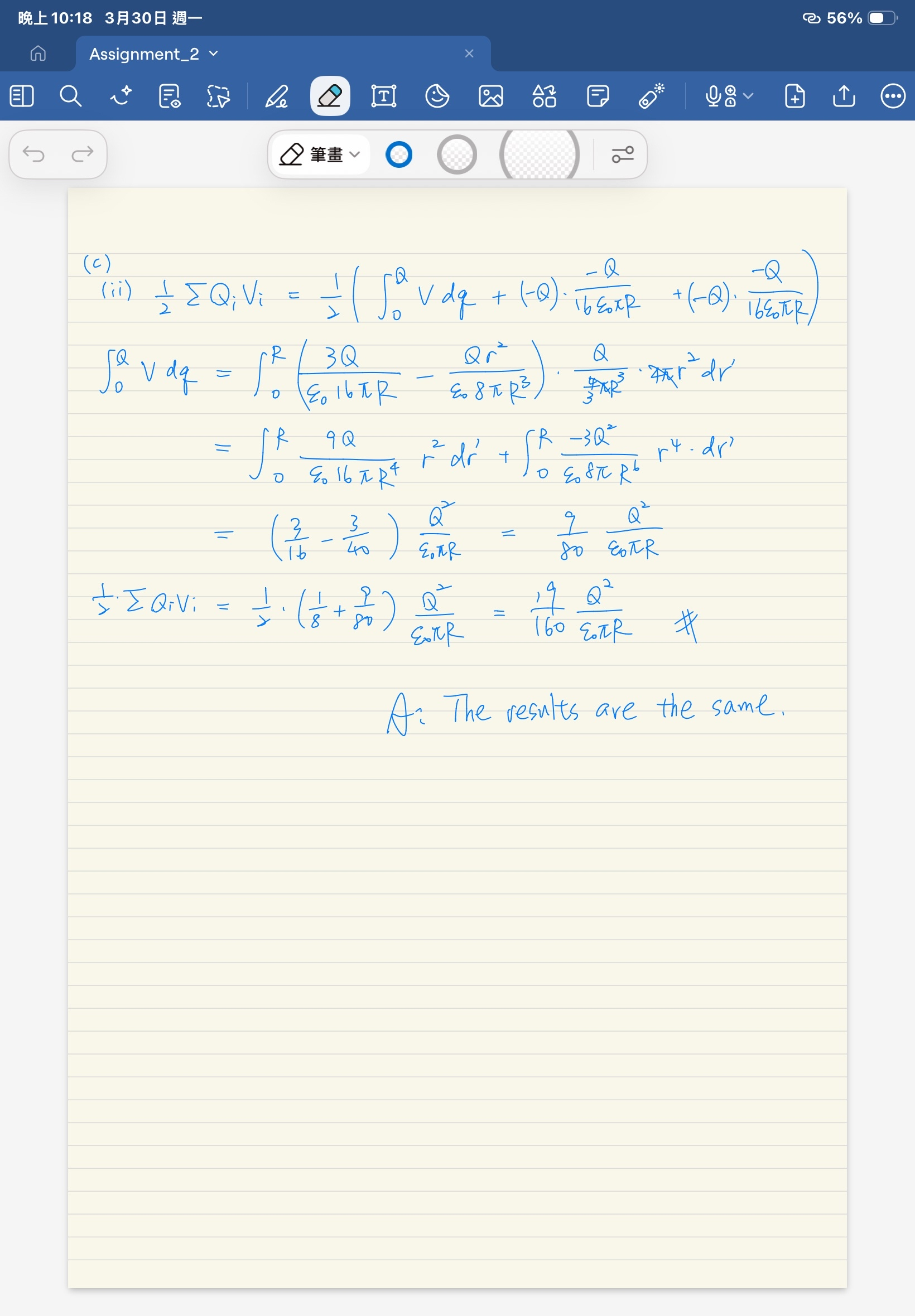
(c) 還有一個 (ii)??
1
金豬朋
3/30/2026 10:19 PM
確實
10:19 PM
金豬朋
確實
Chris Lin
3/30/2026 10:27 PM
辛苦了你這題超麻煩
1
Idiot01
3/30/2026 10:35 PM
數字真的有夠醜 orz
Exported 44 message(s)
Timezone: UTC+8