普物作業 Group 6
HW2 / problem-3
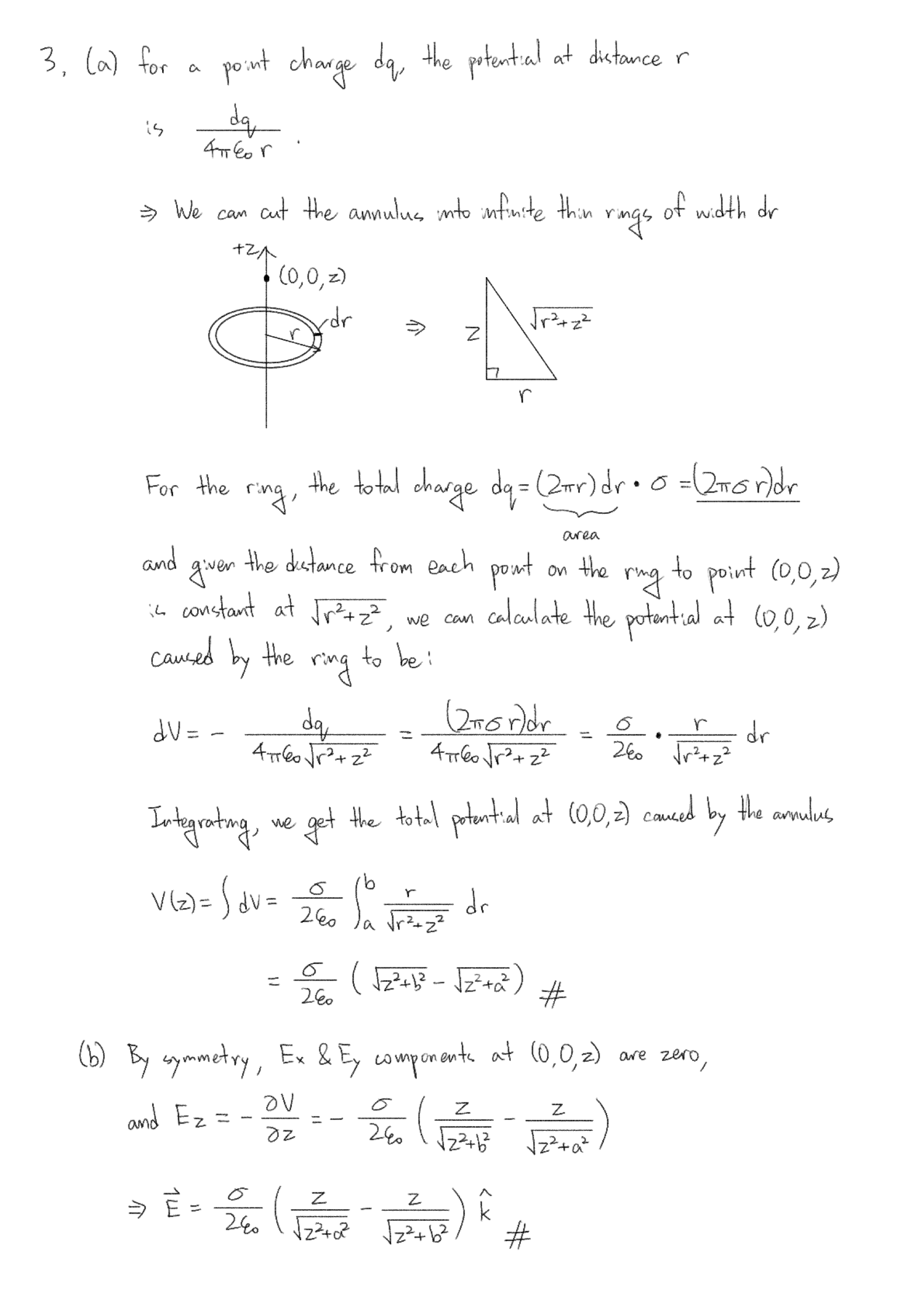
Idiot01
3/30/2026 8:21 PM
2
8:21 PM
不確定有沒有正負號搞反 🫠
8:22 PM
最後一題應該不用算無限大電板的電場?
8:22 PM
不然又要來高斯 QQ
Idiot01
Click to see attachment
🖼️
Chris Lin
3/30/2026 10:30 PM
最後面電場少向量了
10:31 PM
應該是 $$\vec{E}=-\nabla V=-\frac{\partial V}{\partial z}\hat{k}$$
(edited)
TeXit
BOT
3/30/2026 10:32 PM
Chris Lin
Compile Error! Click the
reaction for more information. (You may edit your message to recompile.)
Idiot01
3/30/2026 10:32 PM
我是寫 E_z
10:33 PM
要直接向量也可以
Chris Lin
3/30/2026 10:33 PM
喔我看懂你的意思了
10:33 PM
好像可以
10:33 PM
確實
Exported 12 message(s)
Timezone: UTC+8