普物作業 Group 6
HW3 / problem-2
張宇朋
4/7/2026 10:19 PM
10:21 PM
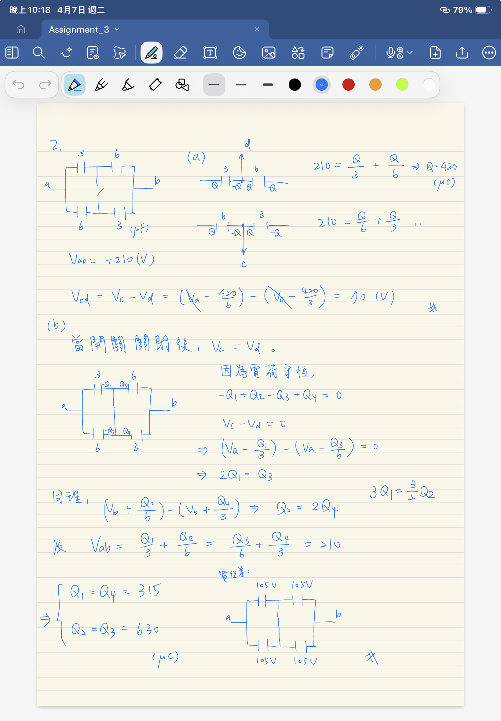
再幫我看看有沒有哪裡算錯的~
Idiot01
4/8/2026 2:42 AM
應該是沒錯
2:42 AM
但 Q 其實可以不要算出來
2:42 AM
前兩題
2:43 AM
但三好像還是得算...
張宇朋
4/8/2026 11:05 PM
對欸前兩題不用那麼麻煩欸
11:06 PM
但c小題就一樣要分開來算Q
Exported 8 message(s)
Timezone: UTC+8